+86-20-8759-9901 Views: 0 Author: Site Editor Publish Time: 2025-11-24 Origin: Site
The core manifestations of skin inflammation are the five key signs: redness, swelling, heat, pain and itching.
Basic symptoms: Redness, swelling, heat, accompanied by stinging or burning sensations in some cases.
Itching: Varies from mild to severe, often leaving scratch marks.
Skin abnormalities: Dryness and scaling, papules, blisters; in severe cases, oozing, crusting, erosion and even ulceration.

Effective inflammation management not only improves current skin issues, but is also the key to preventing future problems and delaying skin aging. By understanding the causes and manifestations of inflammation, we can make more targeted choices of skincare ingredients and lifestyles to protect skin health at its source.
When sudden redness or stinging occurs, prompt soothing intervention is essential. Choose skincare products focused on anti-inflammatory and calming effects to target discomfort and quickly alleviate the skin's stress response.
Inflammation damages the skin's natural protective barrier, leading to reduced moisture-locking capacity. Use products dedicated to barrier repair to help rebuild the skin's protective layer and restore its ability to resist external irritants.
Anti-inflammation is not a temporary fix but requires consistent daily care. Opt for mild, non-irritating skincare products, paired with a regular schedule and healthy diet, to maintain stable skin condition from the inside out.
Effective anti-inflammation relies on the coordination of multi-dimensional effects. Select products with the three-in-one benefits of anti-inflammation, moisturization, and repair to build an all-round protective system, fundamentally reducing recurring inflammation.

Addressing the issue of inflammation, we are introducing a truly effective anti-inflammatory ingredient today — Hony D001. It can soothe skin inflammation, help improve redness, stinging and other sensitivity issues, and restore the skin to a healthy state.
Next, let's explore the outstanding effects of this star ingredient!
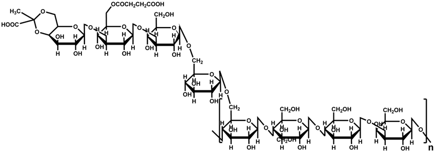
Hony D001 is a polysaccharide compound formed by the connection of succinyl groups and glycosyl groups via ester bonds. Its molecular chain contains a large number of succinyl groups, which endow succinoglycan with unique chemical and physical properties.Name


Hony D001 is derived from natural polysaccharides, a class of highly structurally diverse biomacromolecular polymers. Polysaccharides are precisely linked by monosaccharide units via glycosidic bonds, and some can further bind with peptides, amino acids or lipids to form complex combinations of sugar residues, laying a solid foundation for their excellent biological activity.

Natural origin, good skin compatibility
Produced by industrial fermentation, with controllable quality
Diversified functions, remarkable effects
Clear mechanism of action
Excellent compatibility with other raw materials
High biological safety
Whether it is environmental irritation or skin damage, Hony D001 can targetedly exert anti-inflammatory and repairing effects, meeting various daily skincare needs.

Ultraviolet (UV) radiation can trigger skin erythema, epidermal thickening and collagen loss. Hony D001 alleviates sunburn reactions through its anti-inflammatory activity, while reducing melanin production to relieve post-sun dullness and redness.
For inflammation-related skin issues such as atopic dermatitis, it lowers the levels of skin inflammatory factors, improves barrier function, and reduces discomfort like swelling and itching. Long-term use can reduce skin sensitivity.
During the wound healing process, its anti-inflammatory effect minimizes the interference of inflammation on tissue repair. Meanwhile, combined with its moisturizing properties, it creates a favorable environment for skin repair and accelerates the recovery of damaged skin.
Hony D001 reduces the inflammatory response of skin cells.

Hony D001 inhibits the inflammatory response of macrophages.
Hony D001 boasts the dual advantages of high safety and remarkable anti-inflammatory efficacy. In skincare applications, it can effectively soothe skin inflammation without causing cell damage, making it an ideal functional skincare ingredient.
Experimental data confirms that Hony D001 can quickly penetrate to the deep skin layers, simultaneously soothing multiple inflammatory symptoms such as redness, swelling and stinging, thus providing a scientific and efficient repair solution for sensitive skin.
Facial Cleanser: Mild cleansing to prevent post-cleansing redness
Essence: Targeted soothing to quickly reduce redness
Facial Mask: Intensive repair to enhance skin barrier function
Facial Cream: Long-lasting moisturization to build a protective network
Shampoo: Soothe scalp inflammation and improve hair follicle environment
Body Wash: Relieve body acne and sensitivity issues
Body Lotion: Repair skin barrier and provide long-lasting moisturization
【Experience】New products with Hony D001 are now available!
【Contact Us】Get more professional product knowledge!
content is empty!
content is empty!
New Products | Silicone | Conditioner | Surfactant | Actives | Home Care